Задание 2.459 - ГДЗ Математика 6 класс. Виленкин, Жохов. Учебник часть 1

Старая и новая редакции

Вернуться к содержанию учебника

2.456 2.457 2.458 2.459 2.460 2.461 2.462

Вопрос

Выберите год учебника

№2.459 учебника 2023-2024 (стр. 104):

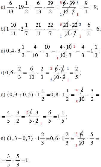
Найдите значение выражения:


№2.459 учебника 2021-2022 (стр. 100):

Найдите периметр прямоугольника, если одна из его сторон равна дм, а площадь равна дм2.

Подсказка

№2.459 учебника 2023-2024 (стр. 104):

Вспомните:

  1. Умножение обыкновенных дробей.
  2. Смешанные числа, действия с ними.
  3. Неправильные дроби.
  4. Десятичная запись дробных чисел.
  5. Сложение и вычитание десятичных дробей.
  6. Сокращение дробей.
  7. Деление и дроби.
  8. Деление с остатком.

№2.459 учебника 2021-2022 (стр. 100):

Вспомните:

  1. Что называют прямоугольником, его периметр и площадь.
  2. Деление обыкновенных дробей.
  3. Умножение обыкновенных дробей, взаимно обратные числа.
  4. Сложение дробей с разными знаменателями.
  5. Приведение дробей к общему знаменателю.
  6. Сложение дробей с одинаковыми знаменателями.
  7. Сокращение дробей.
  8. Неправильные дроби.
  9. Деление и дроби.
  10. Деление с остатком.
  11. Смешанные числа.

Ответ

№2.459 учебника 2023-2024 (стр. 104):


Пояснения:

Правила, по которым выполнены вычисления:

1) произведением двух дробей является дробь, числитель которой равен произведению числителей, а знаменатель - произведению знаменателей. При выполнении умножения дробей, чтобы вычисления были проще, не надо перемножать сразу, лучше сделать это после сокращения. Сократить дробь - значит, разделить ее числитель и знаменатель на одно и то же число (наибольший общий делитель). ;

2) чтобы выполнить умножение смешанных чисел, нужно записать эти числа в виде неправильных дробей, а затем воспользоваться правилом умножения дробей. Чтобы преобразовать смешанное число в неправильную дробь, надо целую часть числа умножить на знаменатель дробной части и к полученному произведению прибавить числитель дробной части; эту сумму записать как числитель неправильной дроби, а в ее знаменатель записать знаменатель дробной части смешанного числа;

3) произведение взаимно обратных чисел равно единице (обратным числу является число ).

Чтобы выполнить умножение десятичных дробей, преобразуем десятичные дроби в обыкновенные дроби, при этом помним, количество знаков после запятой у десятичной дроби совпадает с количеством нулей в знаменателе обыкновенной дроби и, если возможно, полученную обыкновенную дробь сокращаем.

В пунктах д) и е) сначала выполняем действия в скобках, а затем за скобками.


№2.459 учебника 2021-2022 (стр. 100):


Вернуться к содержанию учебника