Вернуться к содержанию учебника
Выберите год учебника
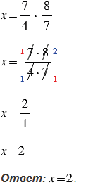
№2.431 учебника 2023-2024 (стр. 102):
Найдите корень уравнения:

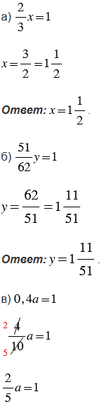
№2.431 учебника 2021-2022 (стр. 97):
Решите уравнение:

№2.431 учебника 2023-2024 (стр. 102):
Вспомните:
№2.431 учебника 2021-2022 (стр. 97):
Вспомните:
№2.431 учебника 2023-2024 (стр. 102):







Пояснения:
Равенство, содержащее неизвестное число, обозначенное буквой называют уравнением.
Корнем уравнения называют значение буквы, при котором уравнение становится верным числовым равенством.
Решить уравнение - значит найти все его корни (или убедиться, что это уравнение не имеет корня).
Чтобы найти неизвестное уменьшаемое, нужно к разности прибавить вычитаемое.
Чтобы найти неизвестный множитель, нужно произведение разделить на известный множитель.
В каждом уравнении сначала упрощаем левую часть уравнения, используя распределительное свойство умножения (выносим одинаковый множитель (букву) за скобки и выполняем вычисления в скобках), затем выражаем из полученного уравнения неизвестную по правилам указанным выше.
Правила, по которым выполняем вычисления:
1) чтобы найти частное двух дробей, надо делимое умножить на число, обратное делителю. При этом помним, обратным числу
является число
;
2) произведением двух дробей является дробь, числитель которой равен произведению числителей, а знаменатель - произведению знаменателей;
3) чтобы выполнить деление смешанных чисел, нужно записать эти числа в виде неправильных дробей, а затем воспользоваться правилом деления дробей;
4) чтобы сложить (вычесть) две дроби с разными знаменателями, надо: привести данные дроби к общему знаменателю, а затем применить правило сложения (вычитания) дробей с одинаковыми знаменателями;
5) чтобы найти сумму (разность) двух дробей с одинаковыми знаменателями, нужно сложить (вычесть) их числители, а знаменатель оставить прежним;
6) чтобы из единицы вычесть правильную дробь, нужно единицу представить в виде неправильной дроби с одинаковыми числителем и знаменателем, равными знаменателю вычитаемой дроби.
Чтобы преобразовать смешанное число в неправильную дробь, надо целую часть числа умножить на знаменатель дробной части и к полученному произведению прибавить числитель дробной части; эту сумму записать как числитель неправильной дроби, а в ее знаменатель записать знаменатель дробной части смешанного числа.
При выполнении умножения обыкновенных дробей, чтобы вычисления были проще, не надо перемножать сразу, лучше сделать это после сокращения. Сократить дробь - значит, разделить ее числитель и знаменатель на одно и то же число (наибольший общий делитель).
Если при вычислениях получилась неправильная дробь (числитель больше знаменателя), ее нужно преобразовать в смешанное число. Чтобы неправильную дробь, числитель которой нацело не делится на знаменатель, преобразовать в смешанное число, надо числитель разделить на знаменатель; полученное неполное частное записать как целую часть смешанного числа, а остаток - как числитель его дробной части.
№2.431 учебника 2021-2022 (стр. 97):


Пояснения:
Равенство, содержащее неизвестное число, обозначенное буквой называют уравнением.
Корнем уравнения называют значение буквы, при котором уравнение становится верным числовым равенством.
Решить уравнение - значит найти все его корни (или убедиться, что это уравнение не имеет корня).
В пунктах а) - г), чтобы решить уравнения, учитываем то, что единице равно произведение взаимно обратных числ. При этом помним, обратным числу
является число
.
В пунктах в) и г), чтобы определить взаимно обратные числа, десятичные дроби преобразуем в обыкновенные дроби и, если возможно, сокращаем их. У обыкновенной дроби в знаменателе столько нулей, сколько знаков после запятой у десятичной дроби.
Также, если корень уравнения - неправильная дробь (числитель больше знаменателя), то преобразуем ее в смешанное число. Чтобы неправильную дробь, числитель которой нацело не делится на знаменатель, преобразовать в смешанное число, надо числитель разделить на знаменатель; полученное неполное частное записать как целую часть смешанного числа, а остаток - как числитель его дробной части.
При решении уравнений в пунктах д) и е) учитываем то, что то же самое число получается только при умножении на единицу.
Вернуться к содержанию учебника